linear equations are presented. If a group of x and y values [or ordered pairs, P(x,y)] that satisfy a given linear equation are plotted on a coordinate system, the resulting graph is a straight line. When higher-ordered equations such as are encountered, the resulting graph is not a straight line. However, the points whose coordinates satisfy most of the equations in x and y are normally not scattered in a random field."> The Locus of an Equation

Share on Google+Share on FacebookShare on LinkedInShare on TwitterShare on DiggShare on Stumble Upon
Custom Search
 
  

THE LOCUS OF AN EQUATION

In chapter 1 of this course, methods for analysis of linear equations are presented. If a group of x and y values [or ordered pairs, P(x,y)] that satisfy a given linear equation are plotted on a coordinate system, the resulting graph is a straight line.

When higher-ordered equations such as

are encountered, the resulting graph is not a straight line. However, the points whose coordinates satisfy most of the equations in x and y are normally not scattered in a random field. If the values are plotted, they will seem to follow a line or curve (or a combination of lines and curves). In many texts the plot of an equation is called a curve, even when it is a straight line. This curve is called the locus of the equation. The locus of an equation is a curve containing those points, and only those points, whose coordinates satisfy the equation.

At times the curve may be defined by a set of conditions rather than by an equation, though an equation may be derived from the given conditions. Then the curve in question would be the locus of all points that fit the conditions. For instance a circle may be said to be the locus of all points in a plane that is a fixed distance from a fixed point. A straight line may be defined as the locus of all points in a plane equidistant from two fixed points. The method of expressing a set of conditions in analytical form gives an equation. Let us draw up a set of conditions and translate them into an equation.

EXAMPLE: What is the equation of the curve that is the locus of all points equidistant from the two points (5,3) and (2,1)?

SOLUTION: First, as shown in figure 2-2, choose some point having coordinates (x,y). Recall from chapter 1 of this course that the distance between this point and (2,1) is given by

The distance between point (x,y) and (5,3) is given by

Equating these distances, since the point is to be equidistant from the two given points, we have

Squaring both sides, we have

Expanding, we have

Canceling and collecting terms, we see that

This is the equation of a straight line with a slope of minus 1.5 and a y intercept of + 7.25.

Figure 2-2.-Locus of points equidistant from two given points.

 

EXAMPLE: Find the equation of the curve that is the locus of all points equidistant from the line x = - 3 and the point (3,0).

SOLUTION. As shown in figure 2-3, the distance from the point (x,y) on the curve to the line x = -3 is

The distance from the point (x,y) to the point (3,0) is

Equating the two distances yields

Squaring and expanding both sides yields

Canceling and collecting terms yields

which is the equation of a parabola.

Figure 2-3.-Parabola.

EXAMPLE: What is the equation of the curve that is the locus of all points in which the ratio of its distance from the point (3,0) to its distance from the line x = 25/3 is equal to 3/5? Refer to figure 2-4.

SOLUTION: The distance from the point (x,y) to the point (3,0) is given by

The distance from the point (x,y) to the line x = 25/3 is

 

Figure 2-4.-Ellipse.

Since

then

Squaring both sides and expanding, we have

Collecting terms and transposing, we see that

Dividing both sides by 16, we have

This is the equation of an ellipse.

PRACTICE PROBLEMS:

Find the equation of the curve that is the locus of all points equidistant from the following:

l. The points (0,0) and (5,4).

2. The points (3, - 2) and ( - 3,2).

3. The line x = - 4 and the point (3,4).

4. The point (4,5) and the line y = 5x - 4.

HINT: Use the standard distance formula to find the distance from the point P(x,y) and the point P(4,5). Then use the formula for finding the distance from a point to a line, given in chapter 1 of this course, to find the distance from P(x,y) to the given line. Put the equation of the line in the form Ax + By + C=O.

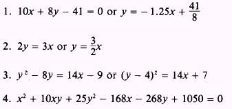
ANSWERS:





Privacy Statement - Copyright Information. - Contact Us

Integrated Publishing, Inc. - A (SDVOSB) Service Disabled Veteran Owned Small Business