Share on Google+Share on FacebookShare on LinkedInShare on TwitterShare on DiggShare on Stumble Upon
Custom Search
 
  

 
Specific Gravity and Absorption, Coarse Aggregate (ASTM C 127). The summarized steps in determining the bulk specific gravity of SSD coarse

Figure 13-17.Items required for testing sand for organic matter.

aggregate and the percentage of absorption are as follows:

1. Dry a representative sample of the aggregate (approximately 5,000 grams) to a constant weight at 110C. Then cool the sample for 1 to 3 hours, immerse it in water, and allow it to soak for about 24 hours.

2. Remove the sample from the water and dry it to a saturated, surface-dry condition by rolling the sample in an absorbent cloth until visible films of water are removed and the particle surfaces appear slightly damp.

3. Weigh the sample in the SSD condition and record the weight to the nearest 0.5 gram. Then immediately place the sample into a container or wire basket and determine its immersed weight (or weight in water) at 23C. Be sure that any entrapped air is removed by shaking the container or basket while it is immersed. Record the immersed weight to the nearest 0.5 gram.

4. Dry the sample to a constant weight at 110C, cool it for 1 to 3 hours, and then weigh the oven-dried sample. Record the weight to the nearest 0.5 gram.

5. The bulk specific gravity (SSD condition) and the percentage of absorption can now be calculated using the following formulas:

And:

Where:

A= weight of oven-dried sample in air (in grams)

B= weight of SSD sample in air (in grams)

C= immersed weight of saturated sample (in grams)

Specific Gravity and Absorption, Fine Aggregate (ASTM C 128). The procedures for determining the bulk specific gravity of the fine aggregate in a SSD condition and the percentage of absorption are as follows:

1. Dry a representative sample of the fine aggregate (about 1,000 grams) to a constant weight at 110C. Then cool the sample, immerse it in water, and allow it to soak for about 24 hours.

2. After the soaking is completed, spread the sample on a flat, nonabsorbent surface and stir it to obtain uniform drying. Continue drying the sample until it approaches a SSD condition.

3. Next, you place a water-absorption cone (fig. 13-18) large end down on a smooth surface and fill it loosely with the aggregate. Then lightly tamp the surface of the aggregate 25 times with the metal tamper.

4. Lift the cone vertically from the sand and observe the action of the sample. If it retains its conical shape, free moisture is present and continued drying (Step 2) followed by repeated tamping (Step 3) is required. If the sample slumps slightly, the fine aggregate has reached the desired SSD condition.

5. Weigh exactly 500 grams of the SSD sample and place it in a partially water-filled pycnometer top-and-jar assembly (fig. 13-19). Fill the jar with additional water to approximately 90 percent of its capacity.

6. Agitate the sample in the pycnometer assembly to remove any entrapped air, adjust the water temperature to 23C, and fill the pycnometer to its calibrated capacity. Then weigh the filled pycnometer to the nearest 0.1 gram and record the weight.

7. Remove the sample from the pycnometer and dry it to a constant weight at 110C. Then cool the sample in air for about 1 hour and weigh it. Record this weight to the nearest 0.1 gram.

8. Determine the weight of the pycnometer filled to its calibrated capacity with water at 23 + 1.7C. Record this weight.

9. You can now calculate the specific gravity of the SSD fine aggregate and the percentage of absorption by using the following formulas: 

And:

Where:

A = weight of the oven-dried specimen in air (in grams)

B = weight of pycnometer filled with water (in grams)

C = weight of pycnometer, sample, and water (in grams)

Surface Moisture (ASTM C 70 and ASTM C 566). A summary of the ASTM procedures used to determine the total moisture content and the

Figure 13-18.Water-absorption cone and tamper.

Figure 13-19.Pycnometer top-and-jar assembly.

percentage of surface moisture in either fine or coarse aggregate are as follows:

1. Secure and weigh a sample of the aggregate that is representative of the moisture content of the material being tested.

2. Dry the sample to a constant weight at 110C. You should take care to avoid loss of material during testing. The sample is thoroughly dry when further heating causes, or would cause, less than 0.1 percent additional loss in weight.

3. Weigh and record the weight of the oven-dried sample.

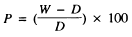
4. Calculate the total moisture content using the following formula:

 

Where:

P = total moisture content (percent)

W= weight of original sample (in grams)

D = weight of oven-dried sample (in grams)

The surface moisture is equal to the difference between the total moisture content and the absorption. An alternate determination of surface moisture in fine aggregate is obtained by displacement as follows:

1. Select a representative sample of the fine aggregate weighing not less than 200 grams.

2. Weigh a pycnometer filled to the calibration mark with water.

3. Place the sample in the pycnometer half filled with water. Add additional water to the calibration mark and remove all entrapped air. Weigh the pycnometer, water, and sample.

4. Calculate the weight of the water displaced by the sample using the following formula:

Where:

Vs = weight of displaced water (in grams)

Wc = weight of water-filled pycnometer (in grams)

Ws = weight of sample (in grams)

W= weight of pycnometer, water, and sample (in grams)

5. Calculate the percent of surface moisture using the following formula:

Where:

P= percent of surface moisture

Vs = weight of displaced water (in grams)

Ws = Weight of sample (in grams)

Vd = weight of sample in grams divided by the bulk specific gravity of the sample

ADMIXTURES

Several chemical agents, or admixtures, are available to improve workability, increase resistance to freezing and thawing, and compensate for inadequate curing time and conditions.

Accelerators

Sometimes it is desirable to accelerate the hydration reactions. The result is a high-early strength and a higher rate of heat production. This combination can be useful in winter operations. The addition of a chemical accelerator (generally calcium chloride) to the mix will produce the desired conditions. The amount specified is usually 2 percent of the weight of cement and rarely more than 3 percent. The main reaction with calcium chloride occurs within the first 3 days. The ultimate strength of concrete is not affected by the use of this chemical.

Retarders

Retarders are used when excessively high heat and too rapid setting of concrete would prevent full hydration. Many materials retard setting of concrete. Basically, these materials are types of fatty acids, starches, or sugars.




 


Privacy Statement - Copyright Information. - Contact Us

Integrated Publishing, Inc. - A (SDVOSB) Service Disabled Veteran Owned Small Business